2025-2026学年第一学期拟
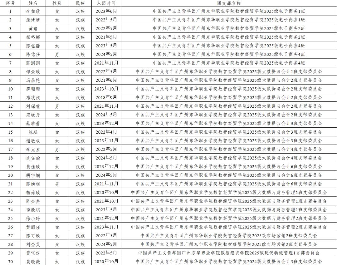
推荐詹诗晴等30位优秀
共青团员为入党积极分子的公示
根据《中国共产党章程》《中国共产党发展党员工作细则》、共青团中央《共青团推优入党实施办法(试行)》(中青发〔2019〕9号)、《广州东华职业学院共青团推优入党工作实施办法》(广州东华党〔2022〕64号)和学校团委《关于做好2025-2026学年第一学期推优入党(入党积极分子)工作的通知》等相关规定,经个人申请、团支部推优大会推荐、数智经贸学院团委资格审查,詹诗晴等30名同学已具备推优入党条件,现予以公示。
名单公示如下

公示时间:2025年10月20日—10月24日(5个工作日)
公示期间,如对公示对象有异议,请在公示期间进行实名反映,反映问题要求实事求是、客观公正,并署真实姓名、单位(班级)和联系方式,并提供
相关材料证明。
受理单位:共青团广州东华职业学院数智经贸学院委员会
联系人:李应根
联系电话:13106810351
联系邮箱:lyg2020gzlg@163.com
联系地址:广州东华职业学院实训大楼(产学研楼)A202数智经贸学院办公室
受理单位:共青团广州东华职业学院委员会联系人:陈虹宇
联系电话:18680200766
联系邮箱:gzdhxtw@163.com
联系地址:广州东华职业学院实训大楼(产学研楼)D205校团委办公室
共青团广州东华职业学院
数智经贸学院委员会
2025年10月20日

