
经本人申请、党支部培养、教育和考察,数智经贸学院学生党支部通过组织谈话,发函调查,听取党小组、培养联系人、党员和群众意见,以及发展对象培训班考核通过,报支委会同意近期将召开党员大会商讨投票陈安格等7名拟预备党员接收事宜,现将有关情况公示如下:


为深化党性教育,传承红色基因,筑牢信仰之基,2026年1月6日,数智经贸学院党总支组织师生党员,走进中山纪念堂、张桂扬烈士纪念碑、南越王博物院,开展了一场沉浸式的实地学习活动,并且以此为契机,加强广东省高校教师党支部书记广东行、广东省高校党建样板支部及标杆院系的建设,全体党员在行走中对话历史,在瞻仰中感悟初心,让红色血脉在新时代赓续流淌。

近期,中国共产党新闻网精品微党课征集展播活动展播名单公布,数智经贸学院师生的微党课作品成功入选,在国家级平台上展现了我院党建育人与专业融合的丰硕成果。

为进一步加强党组织的建设,为党组织注入新的活力,壮大党员队伍,推进入党积极分子理论学习,加深对党的性质、宗旨和纲领的理解,了解党员的义务与权利,结合学院实际情况,广州东华职业学院数智经贸学院于2025年11月5日17:40分在产学研楼D203开展2025年数智经贸学院第25期入党积极分子开班仪式。

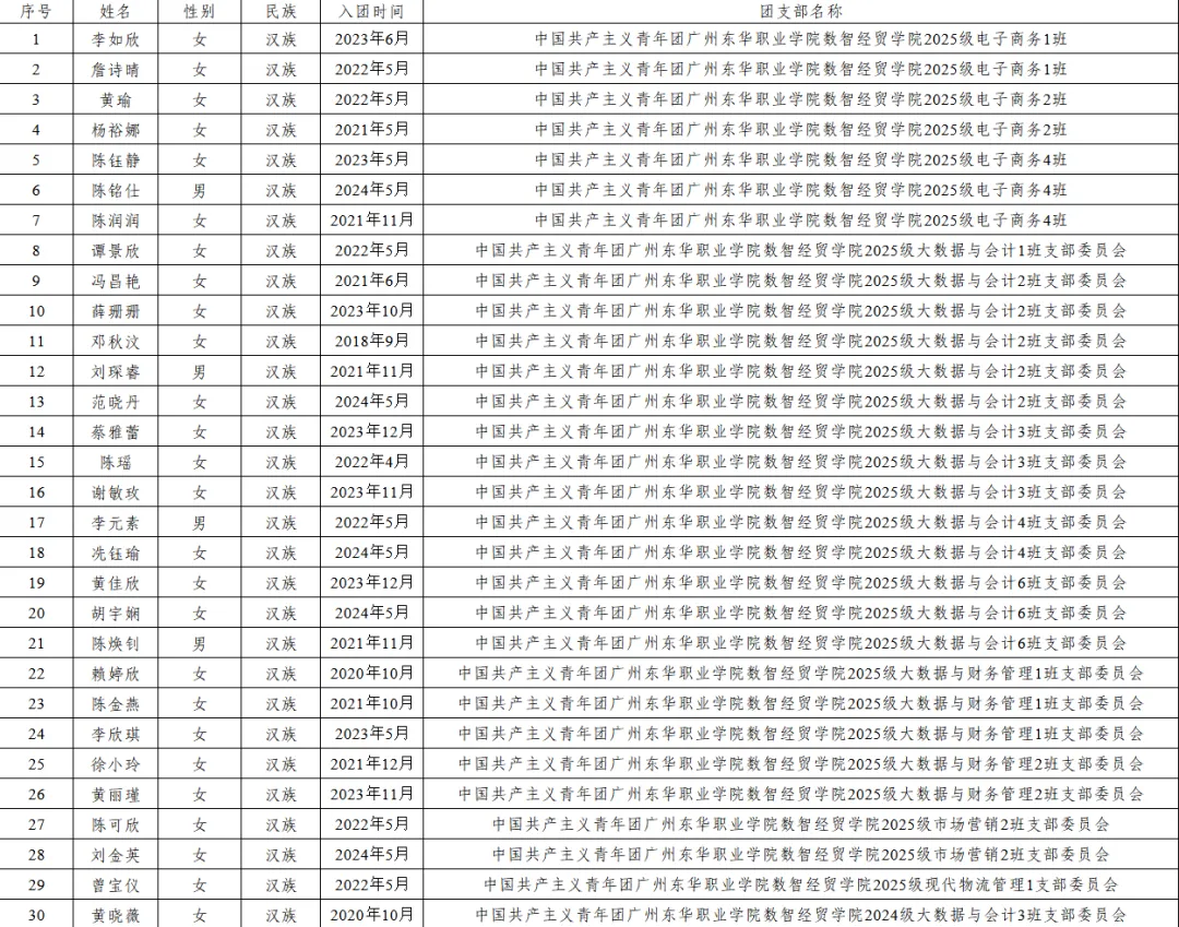
根据《中国共产党章程》《中国共产党发展党员工作细则》、共青团中央《共青团推优入党实施办法(试行)》(中青发〔2019〕9号)、《广州东华职业学院共青团推优入党工作实施办法》(广州东华党〔2022〕64号)和学校团委《关于做好2025-2026学年第一学期推优入党(入党积极分子)工作的通知》等相关规定,经个人申请、团支部推优大会推荐、数智经贸学院团委资格审查,詹诗晴等30名同学已具备推优入党条件,现予以公示。
官方公众号
学院二维码